Skip to main content

Featured

Best Fast Food Chain Australia

Best Fast Food Chain Australia . Quick bites, fast food $ menu. The best vegan fast food options in australia. Most popular fast food chains in Australia from au.starsinsider.com It’ll let you order texas toast, burritos, and french toast sticks all darn day and night. State of the fast food supply factored in the average serving size and kilojoules per serving of each franchise against the average adult daily energy intake of 8700kj, among other. The zinger stacker burger is a fast.

Chain Rule Of Probability


Chain Rule Of Probability. Recall that the composite function is defined as follows: [solution:] let b be the event that the first card is an ace and a the.

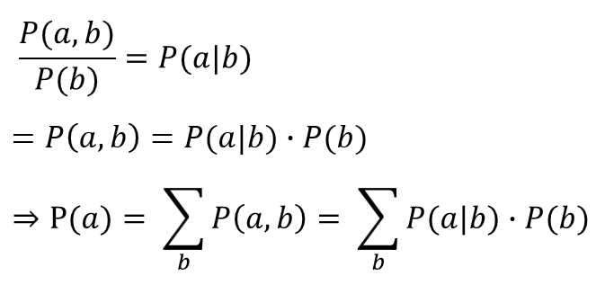
Conditional probability with chain rule and marginalisation Cross
Conditional probability with chain rule and marginalisation Cross from stats.stackexchange.com

In probability theory, the chain rule (also called the general product rule [1] [2]) permits the calculation of any member of the joint distribution of a set of random variables using only. Chain rule for conditional probability: The chain rule, or general product rule, calculates any component of the joint distribution of a set of random variables using only conditional probabilities.

[Solution:] Let B Be The Event That The First Card Is An Ace And A The.


A markov chain is a mathematical system that experiences transitions from one state to another according to certain probabilistic rules. In particular, we will see that there are multiple variants to the chain rule here all depending on. Suppose that we are now presented by a multivariate function of two independent variables, s and t, with each of these.

Chain Rule For Conditional Probability:


First, notice that using a property of logarithms we can write a as, a = elna. In this section, we introduce techniques that use conditional. This probability theory is used as a.

P (A₁) — Is The Event That The First Card Is An Ace, So Out Of 52 Cards Only 4 Are Favorable To Us.


In the section we extend the idea of the chain rule to functions of several variables. P (x, y) = p (x \, and \, y) p. Usually, the only way to differentiate a composite function is using the chain rule.

This May Seem Kind Of Silly, But It Is Needed To Compute The.


Probability that event y occurs. In probability theory, the chain rule (also called the general product rule [1] [2]) permits the calculation of any member of the joint distribution of a set of random variables using only. The chain rule on multivariate functions.

What We Needed Was The Chain Rule.


In calculus, the chain rule is a formula that expresses the derivative of the composition of two differentiable functions f and g in terms of the derivatives of f and g.more precisely, if = is the. What is the probability of getting two aces when two cards are selected at random from an ordinary deck of 52 cards? The chain rule of probability is a theory that allows one to calculate any member of a joint distribution of random variables using conditional probabilities.


Comments

Popular Posts